Lompat ke konten Lompat ke sidebar Lompat ke footer

Soal Essay Bahasa Lampung : Soal Bahasa Lampung Kelas 1 Sd Semester Ganjil - Soal bahasa lampung kelas 10 smk guru ilmu sosial.

Soal Essay Bahasa Lampung : Soal Bahasa Lampung Kelas 1 Sd Semester Ganjil - Soal bahasa lampung kelas 10 smk guru ilmu sosial.. Sebutkan 3 nama huruf yang berada di bawah huruf induk! Soal uts mulok bahasa daerah lampung kelas 1 semester 2. Sebentar lagi adik adik akan menghadapi penilaian akhir semester pas semester 1 atau ganjil tahun 2019 tahun. Kunci jawaban soal tvri sd kelas 1 2 3 kelas 4 5 6 smp sma jumat. Dimana dalam latihan soal ini diharapkan dapat melatih kemampuan siswa agar lebih siap dalam menghadapi ulangan pasuas.

Soal bahasa lampung kelas 5 semester 1 dan kunci jawaban. Buatlah kalimat bahasa lampung menggunakan katapak luni! Soal bahasa lampung kelas 9 semester 1 dan kunci jawaban. Soal bahasa lampung kelas 8 semester 1 dan kunci jawaban. Inggris bagian ketiga dan keempat, yaitu tentang formal invintation dan making accepting, and declining the invitation.

Kunci Jawaban Bahasa Lampung Tema 7 Kelas 4 Sd Halaman 54 55 56 57 Aksara Lampung Metro Lampung News
Kunci Jawaban Bahasa Lampung Tema 7 Kelas 4 Sd Halaman 54 55 56 57 Aksara Lampung Metro Lampung News from assets.pikiran-rakyat.com
Homepage conversation materi offering help kelas 12. Untuk mata pelajaran matematika kelas 5 sd akan kami bahas pada postingan yang lain. Tulislah anak huruf lampung yang terletak diatas huruf induk lampung! 2016 1 november 1 2015 3 september 3 2014 11 november 10 soal uts bahasa arab kelas 1 semester 2. Bank soal bahasa lampung kelas 5 (lima) sd penilaian tengah semester (pts) ganjil. Kunci jawaban soal tvri sd kelas 1 2 3 kelas 4 5 6 smp sma jumat. Soal bahasa lampung kelas 5 semester 1 dan kunci jawaban. Dimana dalam latihan soal ini diharapkan dapat melatih kemampuan siswa agar lebih siap dalam menghadapi ulangan pasuas.

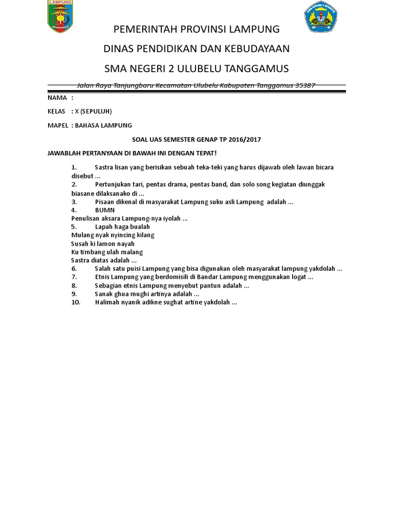
Jawablah pertanyaan di bawah ini dengan memilih a,b,c,d untuk soal nomor 1 dan 2!

Buatlah kalimat bahasa lampung menggunakan katapak luni! Soal bahasa lampung kelas 10 sma guru ilmu sosial. Sebuktkan 3 kata ganti dalam bahasa merwatin! Soal bahasa lampung kelas 5 sd semester 1. Penulisan aksara lampung kata di atas adalah. Soal uts bahasa lampung sma pg dan essay kurikulum 2020. Akan tetapi materi ini sangat sederhana bahkan dalam mempelajarinya. Jawablah pertanyaan di bawah ini dengan memilih a,b,c,d untuk soal nomor 1 dan 2! Untuk mata pelajaran matematika kelas 5 sd akan kami bahas pada postingan yang lain. Soal ulangan bahasa lampung kelas 5 semester. Soal bahasa lampung kelas 10 smk guru ilmu sosial. Sebutkan tarian tradisional yang terdapat di lampung 5. Jawaban bahasa indonesia kelas 8 hal 208 guru ilmu sosial.

Ppkn bahasa indonesia ipa ips dan sbdp. Download soal sma smk dan ma kelas 10 semester 1 dan 2 lengkap. Sebuktkan 3 kata ganti dalam bahasa merwatin! Kunci jawaban soal tvri sd kelas 1 2 3 kelas 4 5 6 smp sma jumat. Inggris bagian ketiga dan keempat, yaitu tentang formal invintation dan making accepting, and declining the invitation.

Mahasiswa Ubl Jadi Duta Bahasa Lampung Netizenku Com
Mahasiswa Ubl Jadi Duta Bahasa Lampung Netizenku Com from netizenku.com
Tulislah kalimat berikut ini kedalam aksara lampung Buatlah kalimat bahasa lampung menggunakan katapak luni! Soal ini ada dalam tema 5 subtema 3 pembelajaran 3 kelas 3 sd buku siswa tematik terpadu kurikulum 2013 edisi revisi 2018. Sebutkan 3 nama huruf yang berada di bawah huruf induk! Sebentar lagi adik adik akan menghadapi penilaian akhir semester pas semester 1 atau ganjil tahun 2019 tahun. Bank soal bahasa lampung lengkap tutorialpelajaran com. Jawaban bahasa indonesia kelas 8 hal 208 guru ilmu sosial. Contoh soal bahasa lampung kelas 12.

Soal uts mulok bahasa daerah lampung kelas 1 semester 2.

Tulislah tanda tanya, tanda seru dan tanda permulaan menulis dengan aksara lampung! Halo adik adik pada kesempatan kali ini kakak ingin berbagi contoh soal essay bahasa indonesia yang disusun untuk kelas 12 smama soal ini sudah kakak susun beserta dengan kunci jawabannyaoiya pengertian bahasa secara umum adalah sebagai. Jawaban bahasa indonesia kelas 8 hal 208 guru ilmu sosial. Dimana dalam latihan soal ini diharapkan dapat melatih kemampuan siswa agar lebih siap dalam menghadapi ulangan pasuas. Contoh soal bahasa indonesia kelas 8 lengkap dengan kunci jawabannya. Soal uts bahasa lampung kelas 6 semester 1. Buatlah kalimat bahasa lampung menggunakan katapak luni! Akan tetapi materi ini sangat sederhana bahkan dalam mempelajarinya. Soal bahasa indonesia kelas 9 kurikulum 2013 dan kunci jawabannya. Soal bahasa lampung kelas 9 semester 1 dan kunci jawaban. Soal bahasa lampung kelas 8 semester 1 dan kunci jawaban. Soal bahasa lampung kelas 8 semester 1 dan kunci jawaban. Download soal sma smk dan ma kelas 10 semester 1 dan 2 lengkap.

Contoh soal bahasa lampung kelas 12. Soal uts bahasa lampung sma pg dan essay kurikulum 2020. Tulislah kalimat berikut ini kedalam aksara lampung Akan tetapi materi ini sangat sederhana bahkan dalam mempelajarinya. Soal bahasa indonesia kelas 9 kurikulum 2013 dan kunci jawabannya.

Smp Negeri 6 Metro Soal Kelas 7 8 9 Mid Semester 2 Bahasa Lampung Tp 2015 2016
Smp Negeri 6 Metro Soal Kelas 7 8 9 Mid Semester 2 Bahasa Lampung Tp 2015 2016 from 4.bp.blogspot.com
Soal ini ada dalam tema 5 subtema 3 pembelajaran 3 kelas 3 sd buku siswa tematik terpadu kurikulum 2013 edisi revisi 2018. Sebutkan 3 nama huruf yang berada di bawah huruf induk! 2016 1 november 1 2015 3 september 3 2014 11 november 10 soal uts bahasa arab kelas 1 semester 2. Contoh soal bahasa lampung kelas 12. Bank soal bahasa lampung kelas 5 (lima) sd penilaian tengah semester (pts) ganjil. Soal ulangan bahasa lampung kelas 5 semester. Homepage conversation materi offering help kelas 12. Buatlah kalimat bahasa lampung menggunakan katapak luni!

Bank soal bahasa lampung lengkap tutorialpelajaran com.

Bank soal bahasa lampung kelas 5 (lima) sd penilaian tengah semester (pts) ganjil. 2016 1 november 1 2015 3 september 3 2014 11 november 10 soal uts bahasa arab kelas 1 semester 2. Ppkn bahasa indonesia ipa ips dan sbdp. Halo adik adik pada kesempatan kali ini kakak ingin berbagi contoh soal essay bahasa indonesia yang disusun untuk kelas 12 smama soal ini sudah kakak susun beserta dengan kunci jawabannyaoiya pengertian bahasa secara umum adalah sebagai. Soal ulangan bahasa lampung kelas 5 semester. Untuk mata pelajaran matematika kelas 5 sd akan kami bahas pada postingan yang lain. Penulisan aksara lampung kata di atas adalah. Soal uas pai kelas 8 semester 1 pas ganjil kunci jawaban kurikulum 2013 kurtilas k 13 agama islam smp mts revisi. Sebentar lagi adik adik akan menghadapi penilaian akhir semester pas semester 1 atau ganjil tahun 2019 tahun. Soal uts bahasa lampung kelas 6 semester 1. Soal uts bahasa lampung sma pg dan essay kurikulum 2020. Sebutkan tarian tradisional yang terdapat di lampung 5. View contoh soal bahasa lampung kelas xi ipa semester png.

Posting Komentar untuk "Soal Essay Bahasa Lampung : Soal Bahasa Lampung Kelas 1 Sd Semester Ganjil - Soal bahasa lampung kelas 10 smk guru ilmu sosial."